六年级数学(下册) - 练习十五
1.95 370 720 13


10 0.59 0.2 4.2
2.33.97 3.397 33970 3397
43 7.9 430 430
3.600 1000 10000 9
4.> < < >
> > > <
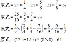
5.原式=59×(100+1)=59×100+59×1=5959 原式=12.7-(3.6+5.4)=3.7

6.左边:80 880 8880 88880
规律:一个数从高位起至个位上的数字分别是从9开始依次减1的相邻自然数,这个数是几位数,它乘9的积减几的差就从高位起写几个8,个位再写1个0。
右边:888880 8888880 88888880 888888880
7.x y zd
8.20×28÷16-28=7(天)

10.4.0×(1+25%)=5.0(元)
4.0×10=40.0(元)
40.0÷5.0=8(L)
11.解:设从北京到外公家汽车的耗油量为x L。

44.8<60,所以能到达外公家。
12.略
13.17:24-11:06=6小时18分
2+2+2+3+2+6=17(分)
6小时18分-17分≈6小时
1487÷6≈248(千米/时)
14. 1.80+0.6=2.4(m)
虽然2.6>2.4,但是爸爸站在凳子上更换灯泡时需举起胳膊、伸出双手,所以爸爸能换成灯泡。
教材81页上面“做一做”
