六年级数学(下册) - 练习十二
1.(1)1∶300000 (2)5∶3 5∶3 25∶9
(3)135 提示:先求出放大后的长和宽,再求放大后的面积。
2.(1)成正比例关系 (2)成反比例关系
(3)成正比例关系 (4)成正比例关系
3.分析:先根据比例尺1∶2000000求出甲、乙两个城市之间高速公路的实际距离,再求在 比例尺是1∶5000000的地图上这条公路的图上距离。
解答:解:设甲、乙两个城市之间高速公路的实际距离为x cm。
1∶2000000=5.5∶x x=11000000
解:设这条公路的图上距离是y cm。
1∶5000000=y∶11000000 y=2.2
4*. (1)解:设现价x元。

(2)提示:先求一件夹克衫的现价,再求张伯伯的钱能买多少件夹克衫。
解:设一件夹克衫的现价是x元。

x,=120
解:设能买y件。
120y,=90×4
y,=3
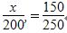
(3)分析:一件上衣原价250元,现价150元,现价是原价的=;用x表示原价,y表示现 价,因为所有服装都打同样的折扣销售,所以y也是x的。