一 分数乘法 - (8) 解决问题(2)
第1题
(1)四月份的产量
(2)
第2题

第3题

第4题

第5题
分析:根据题意可知:公鸡有400只,母鸡的只数比公鸡多
,即母鸡比公鸡多
只;母鸡的只数是公鸡的
倍,母鸡有
只;公鸡和母鸡一共有
只。
解答:
(1)B …………………(4分)
(2)C …………………(8分)
(3)A …………………(12分)
第6题


第7题

第8题
(1)120+120×
=160(本)
(160-120)÷160=
(2)160×
=100(本)
第9题
80×
=32(万元)
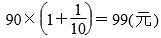
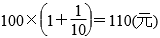
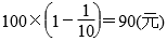
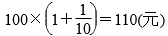
第10题
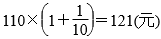
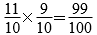
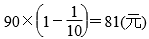
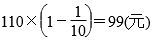
分析: 已知这4种服装的原价都是100元,A种服装第一次降价
后的价格是
,第二次降价
后的价格是
;B种服装第一次涨价
后的价格是
,第二次涨价
后的价格是
;C种服装第一次降价
后的价格是
,第二次涨价
后的价格是
;D种服装第一次涨价
后的价格是
,第二次降价
后的价格是
。
(2)从C种服装和D种服装来看,经过两次价格调整,这两种服装的现价都相当于原价的
,所以现价和原价相比,原价高。
解答:
(1)81元 121元 99元 99元…………(12分)
(2)B…………(15分)