综合全练全测 - 期中综合全练全测
第一题
1.15 24 30 48
2.36 140
3.
4
4.36 90 直角
5.< > < =
6.(1)5∶3 (2)
7.b c a
第二题
1.√ 2.× 3.√ 4.√ 5.×
第三题
1.C 2.D 3.D 4.B 5.C
第四题


第五题
1.北 西 75° 580
2.西 南 30° 230
3.北 东 60° 300
4.南 东 45° 460
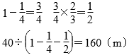
第六题
1.120×
=69(双)
2.
3.

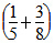
4.分析:有甲、乙两箱皮球,它们的数量比是3∶1,把皮球总个数看作单位“1”,甲箱皮球的个数占皮球总个数的
;从甲箱中取出6个皮球放入乙箱,甲、乙两箱皮球的数量比是5∶3,此时甲箱皮球的个数占皮球总个数的
,通过分析可知6个皮球对应的分率是
,求得皮球的总个数是6÷
=48(个)。
解答:6÷(
-
)=48(个)……(7分)
答:甲、乙两箱共有48个皮球。……(8分)