专项全练全测 - 薄弱环节专项全练全测(一)数与代数
第一题
分析:1题中的错因在于整数与分子约分了,故错因应选A;2题中把分母与分母的和作为分数的分母了,分子与分子的和作为分数的分子了,故错因应选B。3题中除以
在计算时应乘
,没有乘
的倒数,故错因应选A。4题、5题都是运算顺序错误。
解答:
1.A

2.B

3.A

4.B

5.B

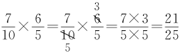
第二题

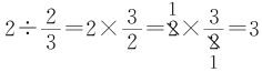
第三题
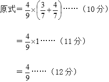
分析:整数乘法的交换律、结合律和分配律对于分数乘法同样适用,应用乘法的运算定律可以使一些计算简便。计算分数混合运算时要将除法转变成乘法,再运用乘法运算定律进行简便计算;在分数混合运算中,若出现小数,要先将小数转化成分数,再进行计算。
解答:




第四题

第五题
1.× 2.√ 3.× 4.× 5.×
第六题
1.B 2.B 3.A 4.B 5.C
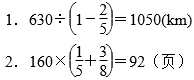
第七题

92+1=93(页) 第三天应从93页看起。
3.30×10=300(杯)
甲部门:300×
=90(杯)
乙部门:300×
=210(杯)
4.分析:(1)本题中A、B两个单位共捐款2.31万元,已知A单位的捐款数额是B单位的
,可以设B单位捐款x万元,则A单位捐款
x万元,列方程为x +
x =2.31,解得x =1.26。
(2)根据B单位的捐款数额比C单位少25%,可知C单位捐款1.26÷(1-25%)=1.68(万元)。
解答:
(1)解:设B单位捐款x万元。
x+
x=2.31 x=1.26 ……………(6分)
答:B单位捐款1.26万元。……………………(7分)
(2)1.26÷(1-25%)=1.68(万元)……(13分)
答:C单位捐款1.68万元。……………………(14分)