2.分数除法 - (6)解决问题(4)
第1题

第2题

第3题

第4题

第5题

第6题
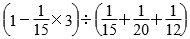
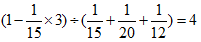
分析:一项工程,甲队单独做要15天完成,甲队平均每天做这项工程的
,乙队单独做要20天完成,乙队平均每天做这项工程的
,丙队单独做要12天完成,所以丙队每天做这项工程的
,三队合作1天可完成这项工程的
,2天可完成这项工程的
,还剩下这项工程的
,如果剩下的由甲队单独做,那么还要
=9(天);如果甲、乙两队合作2天,剩下的由乙、丙两队合作完成,那么还要
(天);如果甲队先做3天,剩下的由三队合作完成,那么还要
(天)。
解答:
(1)
…………(5分)
(2)
…………(6分)
(3)
=4(天) …………(6分)