2.分数除法 - (4)解决问题(2)
第1题
(1)计划用煤量 计划用煤量 实际用煤量
(2)苹果的质量 
第2题
(1)
(2)
第3题
(1)× (2)√
第4题
(1)B (2)A
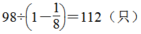
第5题
分析:根据题意可知,黑兔有20只,求白兔的只数。已知一个数的几分之几是多少,求这个数,用除法计算;求一个数的几分之几是多少,用乘法计算。
(1)黑兔的只数是白兔的
,所以白兔的只数是黑兔的只数除以
,即
;
(2)白兔的只数是黑兔的
,所以白兔的只数是黑兔的只数的
,即
;
(3)白兔的只数比黑兔多
,所以白兔的只数是黑兔的只数的
,即
;
(4)黑兔的只数比白兔多
,所以白兔的只数是黑兔的只数除以
,即
;
(5)白兔的只数比黑兔少
,所以白兔的只数是黑兔的只数的
,即
;
(6)黑兔的只数比白兔少
,所以白兔的只数是黑兔的只数除以
,即
。
解答:
…………(12分)
第6题

第7题

第8题

第9题

第10题
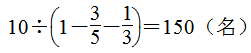
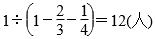
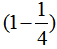
分析:根据题意,第一双鞋赚了
。所以第一双鞋进价的
是300元,已知一个数的几分之几是多少,求这个数,用除法计算,即300÷
=250(元);第二双鞋亏了
。所以第二双鞋进价的
是300元,用除法计算,即300÷
=375(元)。所以两双鞋的总进价为250+375=625(元),实际卖出价为300×2=600(元),625-600=25(元),所以亏了25元。
解答:
300÷
=250(元) ………………(2分)
300÷
=375(元) ………………(4分)
250+375=625(元) 300×2=600(元) ………………(6分)
625>600,商场亏了。………………(7分)
625-600=25(元) ………………(9分)
答:商场亏了,亏了25元。…………………(10分)
第11题
分析:画图如下:

由图可知5+4=9(年)与
是对应关系,所以丟番图活到了
=84(岁)。
解答:分步列式:
5+4=9(年) …………………(3分)
=
…………………(6分)
9÷
=84(岁) …………………(9分)
答:丟番图活到了84岁。…………………(10分)
综合列式:

=84(岁) …………………(9分)
答:丟番图活到了84岁。…………………(10分)