2.分数除法 - (3)解决问题(1)
第1题
(1)全校学生人数
(2)这条公路的长度
(3)鸭的只数
第2题
分析:本题要求根据题意列出等量关系式。(1)全班人数的
是男生的人数,所以全班人数×
=男生的人数;(2)桃树的棵数是梨树的棵数的
,所以桃树棵数=梨树棵数×
。
解答:
(1)全班人数×
=男生人数 …………………(5分)
(2)梨树棵数×
=桃树棵数 …………………(10分)
第3题
(1)
(2)
第4题
(1)解:设这座金字塔刚建成时的高度大约是x m。

(2)解:设解答太空知识用了x秒。

第5题

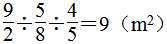
第6题

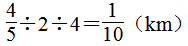
第7题

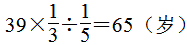
第8题

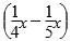
第9题

第10题
分析:此题要求列方程解答,可以设这本故事书一共有x页,则第一天看了
x页,第二天看了
x页,第一天比第二天多看了
页,根据题意可列方程
x-
x=10,方程的解就是这本故事书的页数。
解答:
解:设这本故事书一共有x页。…………(1分)
x-
x=10 …………(7分)
x=200(页) …………(9分)
答:这本故事书一共有200页。…………(10分)