一 分数乘法 - (5)分数的混合运算
第1题

第2题

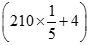
第3题
方法一 
方法二 
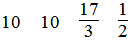
第4题
(1)
(2)4÷4=1(dm) 1×1=1(dm2)

第5题
分析:根据题意可知,甲修路队修了
;乙修路队修了
km 。甲、乙两个修路队一共修了
,即
。
解答: C


方法一 
方法二 
(1)
(2)4÷4=1(dm) 1×1=1(dm2)

分析:根据题意可知,甲修路队修了
;乙修路队修了
km 。甲、乙两个修路队一共修了
,即
。
解答: C
小学教材全练