2.笔算除法 - (6)应用商不变的规律简算
第1题
5 7 12 11 37 12
第2题




第3题


第4题
(1)300÷50=6(个)
(2)300÷30=10(个)
(3)分析:根据算式(300-60)÷30,分析出300是张老师带的钱数,60表示一个篮球60元,30表示一个排球30元。(300-60)表示买了一个篮球后剩下的钱,(300-60)÷30表示用剩下的钱可以买多少个排球。
解答:张老师买了一个篮球后,剩下的钱还能买多少个排球?…………(2分)
第5题
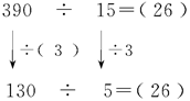
提示:根据“被除数=商×除数+余数”得出,除数和商已知,余数是1时,被除数最小;余数比除数小1时,被除数最大。
最小:62×5+1=311
最大:62×5+61=371
第6题
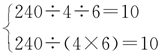
分析:先观察,发现每组两个算式中的数都相同,只是每组中的第二个算式比第一个算式多了一个小括号,并且括号里两个数的相除关系变成了相乘关系。按照运算顺序计算结果如下:


经过计算,发现每组两个算式的结果都相等,由此可以总结出:一个数连续除以两个数等于这个数除以这两个数的积。
根据以上分析,10000÷125÷8÷5÷2可以转化为10000÷(125×8)÷(5×2),结果是1。
解答:
(1)6 6 10 10…………(4分)
(2)
10000÷125÷8÷5÷2
=10000÷(125×8)÷(5×2)
=10000÷1000÷10
=10000÷(1000×10)
=10000÷10000
=1…………(4分)