六年级数学(上册) - 总复习
1.(想一想略)
规律:乘法与除法是互逆运算。
2.略
3.在解决有关分数、比和百分数的实际问题时,最关键的是确定单位“1”,并明确单位“1”的量是已知还是未知。
(1)125×
=100(元)
(2)解法一
解:设这件衬衣原价是x元。

解法二 100÷(1-20%)=125(元)
(3)125×(1-20%)=100(元)
(4)解法一
解:设这件衬衣原价是x元。
x-20%x=100 x=125
或x×(1-20%)=100 x=125
解法二 100÷(1-20%)=125(元)
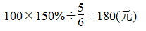
(5)分析:一条长裤的价钱是这件衬衣的150%,是把这件衬衣的价钱看作单位“1”,用乘法求出这条长裤的价钱;这条长裤的价钱又是一双皮鞋的
,把一双皮鞋的价钱看作单位“1”,单位“1”的量未知,用方程求解或用除法计算。
解答:
解法一 解:设这双皮鞋售价是x元。

解法二 
(6)分析:根据题意可知,一条长裤的价钱是这件衬衣价钱的
。把这件衬衣的价钱看作单位“1”,单位“1”的量已知。
解答:
解法一
解法二 
4.略
5.(答案不唯一)方方买书花了多少钱?

(2)他们四人一共花了多少钱?
30×(1-10%)=27(元)

6.略