六年级数学(上册) - 练习十二
1.解法一 303÷(51+50)=3(人)
3×51=153(人) 3×50=150(人)
解法二 
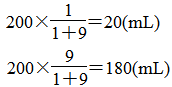
2.解法一 200÷(1+9)=20(mL)
20×1=20(mL) 20×9=180(mL)
解法二 
3.分析:救生员和游客人数比就是每个橡皮艇上救生员和游客的人数比。
解答:解法一 7+1=8

解法二 56÷(1+7)=7(个)
1×7=7(名) 7×7=49(名)
4.
5.(问答略)24∶36=2∶3
0.75∶1=3∶4

6.
7.
8.分析:两个相关联的量就可以进行比较,如我和爸爸年龄的比;爸爸和妈妈一年的工资的比等。
解答:我和爸爸年龄的比是6∶19;爸爸和妈妈一年的工资的比是3∶2。(答案不唯一)
9*.150 t∶60 t∶15 t=150∶60∶15=10∶4∶1
10*.解法一 
解法二 20÷(2+3+5)=2(t)
2×2=4(t) 2×3=6(t)
2×5=10(t)
11*.解法一 
解法二 120÷4=30(cm)
3+2+1=6 30÷6=5(cm)
5×3=15(cm) 5×2=10(cm)
5×1=5(cm)