六年级数学(上册) - 练习十
1.(1)X(2)√(3)X
2.
3.解法一
解:设这块冰的体积是x dm3。

解法二 
4.解法一
解:设猎豹奔跑时的最高时速是x千米/时。

解法二 
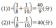
5.分析:把操场一圈的长度看作单位“1”,则小明每分钟走
爷爷每分钟走
(1)题是一道相遇问题,相遇的总路程是单位“1”。相遇问题的数量关系式:速度和×时间=总路程。(2)题是一道追及问题,追及的路程是单位“1”。追及问题的数量关系式:速度差×时间=追及路程。
解答: