六年级数学(上册) - 练习九
1.解法一 解:设下半年的产量是x万台,则上半年的产量是
万台。

上半年的产量:
或
108-60=48(万台)
解法二 4+5=9
上半年的产量:
下半年的产量:
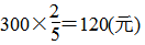
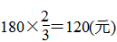
2.解法一 解:设上衣的价钱是x元,则裤子的价钱是
元。

裤子的价钱:
或
300-180=120(元)
解法二 2+3=5
上衣的价钱:
裤子的价钱:
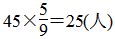
3.解法一 解:设航模小组有x人,则美术小组有
人。

美术小组人数:
解法二 4+5=9
航模小组人数:
美术小组人数:
4.提示:正桥长度+引桥长度=大桥全长。
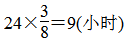
解法一 解:设正桥的长度是x m,则引桥的长度是
m。

引桥的长度:
解法二 257+578=835
正桥的长度:
引桥的长度:
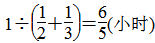
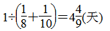
5.解法一 解:设白昼是x小时,则黑夜是
小时。

黑夜:
解法二 3+5=8
白昼:
黑夜:
6.
7.
8.
9.解法一 

解法二 
