六年级数学(上册) - 练习八
1.解:设南北相距x km。

2.解:设一个成年人一天大约需要x g钙质。

3.解:设宇宙飞船的速度大约是x千米/秒。

4.(1)解:设图书馆共有x本书。

(2)解:设图书馆有x本故事书。

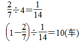
5.
6.
7.解:设这本课外读物一共有x页。

8.解:设这桶水重x kg。

9.
10.(1)
(2)解:设大齿轮有x个齿。

(3)
(4)解:设小齿轮每分钟转x周。

1.解:设南北相距x km。

2.解:设一个成年人一天大约需要x g钙质。

3.解:设宇宙飞船的速度大约是x千米/秒。

4.(1)解:设图书馆共有x本书。

(2)解:设图书馆有x本故事书。

5.
6.
7.解:设这本课外读物一共有x页。

8.解:设这桶水重x kg。

9.
10.(1)
(2)解:设大齿轮有x个齿。

(3)
(4)解:设小齿轮每分钟转x周。

教材习题答案