3.比例的应用 - (5)用比例解决问题(一)
第1题
(1)路程 时间
(2)速度 路程 时间
(3)
第2题
(1)A (2)B
第3题
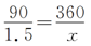
解:设从龙阳路车站到浦东国际机场的磁悬浮列车专线大约长x km。

x=30
第4题
分析:解决本题,要弄清物高与影长的关系。因同时同地测量,所以物高与影长的比值一定,用正比例知识解。
解答:
(1)

(2)正
(3)
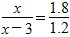
解:设这棵杨树的树高是x m,则影长是(x-3)m。…………(1分)
…………(5分)
x=9…………(1分)
9-3=6(m)…………(1分)
答:这棵杨树的树高是9米,影长是6米。…………(1分)
(4)
解:设这棵杨树的影长是ym,则树高是(y+6)m。
…………(6分)
y=12
12+6=18(m)…………(2分)
答:这棵杨树的树高是18m。…………(1分)