5.通 分 - (4)通 分
第1题
(1)6
(2)60
(3)56
(4)28
(5)51
(6)110
第2题
(1)

(2)

(3)

(4)

第3题
(1)不简便
(2)正确
(3)不正确

第4题
(1)篮球 排球
(2)
第5题
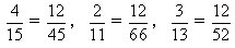
分析:
(1) 最小公分母应是三个分母的最小公倍数,因为这三个分数的分母是15、11、13,它们只有公因数1,所以最小公倍数是它们的乘积。
(2)用使它们分子相同的方法来比较的话,应把分子通分,即找到三个分子的最小公倍数,因为这三个分数的分子是4、2、3,它们只有公因数1,所以最小公倍数是2×3×4=12,用12作为三个分数的公分子即可。
解答:
(1)15×11×13=2145 ………(3分)
(2)
……(3分)
因为
,所以
,即珊珊用的时间最少。……(4分)
第6题
分析:
和
的分子相同,要找比
小又比
大的分数,比较简单的方法就是找分子也是1,分母在9和16之间的数即可,即
……
解答:(答案不唯一)
