专项全练全测答案 - 学习领域专项全练全测(一)
第一题
1.1104000000 110400 11
2.0.93 0.89 0.89
8.7%
3.毫升 分钟
4.2050 3 800 3.5 1 1500
5.-5人 有4人上车
6.1∶2 
7.112
8.75
9.a-21 班级总人数 45
第二题
1.√ 2.× 3.× 4.√ 5.√ 6.×
第三题
1.C 2.B 3.B 4.A 5.D 6.A
第四题
1.4.8 0.18 79
0 178 0.9 
2.1
62.25 100
3.x=4 x=32
第五题
1.分析:先求出故事书的本数,500×40%=200(本),再求出科技书和漫画书的本数和,500-200=300(本),已知科技书和漫画书的数量比是2∶3,就能求出图书馆科技书和漫画书各有多少本。
解答:500×40%=200(本)
500-200=300(本)
科技书:300×
=120(本)
漫画书:300×
=180(本)
2.335.85-90=245.85(千米)
0.85×90=76.5(元)
0.75×245.85≈184.39(元)
76.5+184.39=260.89(元)
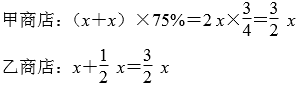
3.分析:设每件T恤衫的原价为x元,把在两个商店花的钱数用含有未知数x的字母表示出来,再进行比较。

在两个商店花的钱数一样多。
解答:设每件T恤衫的原价为x元。
甲商店:

乙商店:

在两个商店花的钱数一样多,所以李林的说法是错误的。
4.分析:假设小亮20道题都做对了,应得20×5=100(分),实际上他得了60分,被扣掉了100-60=40(分),因为做错一道题扣(5+3)分,所以他做错了40÷(5+3)=5(道)题。做对了20-5=15(道)题。
解答:做错的题数:(20×5-60)÷(5+3)=5(道)
做对的题数:20-5=15(道)