5.式与方程 - 5.式与方程
第1题
(1)2a+33
(2)b-2.5y
(3)n 2n 4n
(4)πr+2r
(5)3
第2题
(1)× (2)× (3)× (4)× (5)×
第3题
x=4.4 x=1.8 x=6
第4题
解:设x分钟后两人相遇。
(60+65)x=1000
x=8
第5题
解:设六年级有x名运动员,则五年级有
x名运动员。
x+
x=64
x=36
五年级:36×
=28(名)
第6题
5副羽毛球拍的总钱数
b个拉力器的总钱数
1个拉力器比1副羽毛球拍贵的钱数或1副羽毛球拍比1个拉力器便宜的钱数
5副羽毛球拍和b个拉力器的总钱数 574
第7题
(400+68)÷3=156(米)
第8题
10.5×2÷(25-4)=1(时)
第9题
(1)5x+52 (2)7x-10
(3)5x+52=7x-10 x=31
5×31+52=207(个)或7×31-10=207(个)
第10题
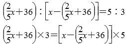
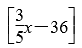
分析:两车同时出发,说明时间一定,路程和速度成正比例,两车的速度比是5∶3,则两车行驶的路程比也是5∶3。找出36千米所对应的分率,相遇时客车行驶的路程是全路程的
,36千米所对应的分率是
,所以甲、乙两地之间的距离是
。
解答:方法一:36÷
=160(千米)
解答:方法一:36÷
=160(千米)
方法二:解:设甲、乙两地相距x千米。

1.2x+108=
×5
1.2x+108=3x-180
3x-1.2x=108+180
1.8x=288
x=160