学霸易错题 - 第二单元 除数是一位数的除法
易错点1 没有掌握两位数除以一位数的基本方法
例1 计算:58÷2=

错解 58÷2=24

错因剖析 被除数的十位除完后,余下的1个十被漏掉了,应该把这个十与个位上的8合起来继续除,即18除以2。
正确解答 58÷2=29

点拨 要掌握两位数除以一位数的基本方法:先用一位数去除两位数十位上的数,然后将余数和两位数个位上的数合起来,再用除数去除。
跟踪练习 下面的竖式对吗?如果不对,把它改正过来。
78÷2=34

答案 不对。改正:78÷2=39

易错点2 在计算时,忽略了余数要比除数小
例2 计算:114÷8=

错解 114÷8=13……10

错因剖析 此题错在个位商3后,得到的余数比除数大了,余数10里面还有一个8,因此商应该是4余2。
正确解答 114÷8=14……2

点拨 计算时,从被除数的高位除起,每次用除数先试除被除数的前一位数,如果它比除数小,再试除前两位数;除到被除数的哪一位,就把商写在那一位的上面;每求出一位商,余下的数必须比除数小。
跟踪练习 下面的式子计算对吗?如果不对,把它改正过来。

答案 不对。 改正:

易错点3 有余数的除法验算时忘记加余数
例3 计算并验算:391÷5=

错解 391÷5=78……1

错因剖析 有余数的除法在验算时忘记加上余数了,验算的结果和被除数也不相等,这说明是错误的。
正确解答 391÷5=78……1

点拨 验算有余数的除法时,一定要加上余数,结果和被除数相等才正确。
跟踪练习 计算并验算:514÷3=。
答案 514÷3=171……1

易错点4 没有掌握被除数的中间或末尾有0的除法的笔算方法
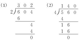
例4 用竖式计算。

错解

错因剖析 这两道题的错误在于没有掌握三位数除以一位数时,商的中间或末尾有0的除法的笔算方法:(1)被除数百位上的数除尽,十位上的数是0,商的十位上的数也应该是0;(2)被除数560的十位除尽了,个位上的数又是0,就不必往下除了,商的个位直接写0就可以了。
正确解答

点拨 (1)由于0除以任何不是0的数都得0,因此,在写竖式时,可以省略用0作被除数的这一过程;(2)当商的个位上的数是0时,这个0一定要写,0起到占位的作用。
跟踪练习 用竖式计算:(1)904÷3= (2)980÷4=
答案

易错点5 没有掌握商的中间或末尾有0的笔算方法
例5 用竖式计算:(1)912÷3= (2)483÷4=
错解

错因剖析 这两道题的错误在于没有掌握一位数除多位数时,商的中间或末尾有0的除法的竖式计算方法:(1)错在当被除数912的百位上的数除尽,且十位上的数不够商1时,没有写0占位;(2)错在被除数483的十位上的数除尽,且商的个位上的数不够商1时,没有写0占位。
正确解答

点拨 (1)被除数十位上的数不够除时,商的十位上要添0占位;(2)如果被除数的十位上的数刚好除尽,同时被除数的个位上的数比除数小,就可以不必再除,只要在商的个位上写0占位,被除数个位上的数就是余数。
跟踪练习 用竖式计算:428÷4= 560÷5=
答案
