三 啤酒生产中的数学——比 例 - 5.用比例知识解决问题
第1题
解:设6吨小麦可以磨出面粉x吨。
x∶6=85∶100
x=5.1
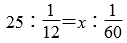
第2题
解:设该项目预计一年可产啤酒x万升。
x=60000
第3题
解:设她读250页需要x分钟。
x=175
第4题
(1)解:设平均每天修x米。
x×12=400×15
x=500
(2)400×15÷600=10(天)
第5题
720×30÷180=120(个)
第6题
解:设
小时可行驶x千米。
x=5
25+5=30(千米)
第7题
(1)7 (2)11
(3)21÷(8-1)×(12-1)=33(分)
第8题
解:设剩下的大米还能吃x天。
(900-180)∶x=180∶6
x=24
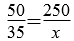
第9题
解:设需要x块。
82×x=62×160
x=90
第10题
提示:客车已行驶的路程:S客=200-20=180(千米)
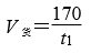
货车已行驶的路程:S货=200-30=170(千米)
设两辆车已行驶了的时间是t1。
客车的行驶速度:
货车的行驶速度
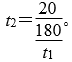
设当客车到达乙地时又行驶了的时间是t2,则t2=
。
货车还差的路程为:

还可以用比例知识来解答。
解:设货车还差x千米到达乙地。
