单元全练全测答案 - 第五单元全练全测
第一题

第二题
1.√ 2.× 3.√
第三题

第四题

第五题

第六题

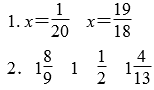
第七题

4.16÷8×3=6(个) 6>5,小东吃的苹果多。
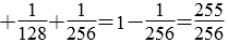
5.提示:观察前三个算式可以发现,加数的分子都是1,后一个加数的分母都是前一个的2倍,结果都是1减最后一个加数的差。



1.√ 2.× 3.√





4.16÷8×3=6(个) 6>5,小东吃的苹果多。
5.提示:观察前三个算式可以发现,加数的分子都是1,后一个加数的分母都是前一个的2倍,结果都是1减最后一个加数的差。


小学教材全练