五 关注环境——分数加减法(二) - 3.异分母分数的连加、连减、加减混合运算
第1题

第2题

第3题

第4题

第5题

第6题
D
第7题

第8题

第9题

第10题
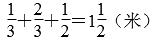
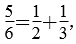
分析:根据

可以得出规律:当一个分数的分子是两个相邻的非零自然数的和,分母是这两个相邻的非零自然数的积时,这个分数就能拆分成分子是1,分母是两个相邻的非零自然数的两个分数的和的形式。所以
。利用这个规律计算:

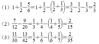
解答:






D



分析:根据

可以得出规律:当一个分数的分子是两个相邻的非零自然数的和,分母是这两个相邻的非零自然数的积时,这个分数就能拆分成分子是1,分母是两个相邻的非零自然数的两个分数的和的形式。所以
。利用这个规律计算:

解答:

小学教材全练