3.分数的基本性质 - (1)分数的基本性质
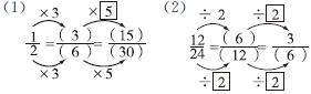
第1题

第2题
(1)涂1格 (2)涂2格 (3)涂3格
第3题
(1)12 5 (2)24 15 (3)4 6 (4)2 20
第4题
(1)× (2)× (3)√
第5题

第6题
分析:想要把
扩大到原来的2倍,可以把分子扩大到原来的2倍,即变为
;或者把分母缩小到原来的
,即变为
。
解答:(答案不唯一)
方法一:把分子扩大到原来的2倍,即
=
。
方法二:把分母缩小到原来的
,即
=
。

(1)涂1格 (2)涂2格 (3)涂3格
(1)12 5 (2)24 15 (3)4 6 (4)2 20
(1)× (2)× (3)√

分析:想要把
扩大到原来的2倍,可以把分子扩大到原来的2倍,即变为
;或者把分母缩小到原来的
,即变为
。
解答:(答案不唯一)
方法一:把分子扩大到原来的2倍,即
=
。
方法二:把分母缩小到原来的
,即
=
。
小学教材全练