2.简单分数加减法 - (1)简单分数加减法(一)
第1题

第2题

第3题

第4题

第5题

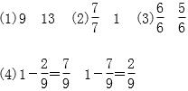
第6题

第7题

第8题
(1)8 4 10

第9题
2 1 1 2
第11题
分析:根据题意可知,第一次小明喝了一整杯纯果汁的一半,然后加满水,说明这次加进一半水,也就是
杯水;第二次又喝了这杯果汁的一半,再加满水,说明又加进一半水,也就是
杯水。一共加了两次水,每次都是
杯水,一共加了
+
=1(杯)水。
解答:
+
=
(杯)=1(杯)…………(10分)