五 关注环境——分数加减法(二) - 2.异分母分数的加减法
第1题
(从左到右)

第2题

第3题
+ - + + - -
第4题
(从左到右)
第5题

第6题
小枫
第8题

第9题

第10题

第11题
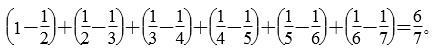
分析:观察题中给出的三个算式,可以得出规律:当两个分数的分子是1,分母分别是两个相邻的非零自然数时,它们的差的分子仍然是1,分母是两个相邻的非零自然数的积,如
利用这个规律可以逆推出
。
解答:
……(6分)
(从左到右)


+ - + + - -
(从左到右)

小枫



分析:观察题中给出的三个算式,可以得出规律:当两个分数的分子是1,分母分别是两个相邻的非零自然数时,它们的差的分子仍然是1,分母是两个相邻的非零自然数的积,如
利用这个规律可以逆推出
。
解答:
……(6分)
小学教材全练