3.分数的加、减混合运算 - (2)整数运算定律及性质推广到分数
第1题
(3)+ (4)+ +
第2题

第3题
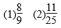
(1)× (2)× (3)√ (4)√
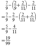
第4题

第5题



第6题

第8题

第9题

第10题
提示:要想使所填的几个分数的和是1,先把这些分数化成同分母分数,再根据分子相加的和必须与分母相等的原则寻找符合条件的分数。

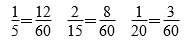
因为40+12+8=60,所以
。
因为30+15+12+3=60,所以
。
(3)+ (4)+ +

(1)× (2)× (3)√ (4)√







提示:要想使所填的几个分数的和是1,先把这些分数化成同分母分数,再根据分子相加的和必须与分母相等的原则寻找符合条件的分数。

因为40+12+8=60,所以
。
因为30+15+12+3=60,所以
。
小学教材全练