专项全练全测 - 学习领域专项全练全测(一)
第一题
1.4075 0.4075 2.
0.55 55%
3.5 60 4.
5.1∶2 6.990 1020
7.6 8.11 4.3、0.38 0、11、-17、-10 11、4.3、0.38 -17、-10
9.3.5 6.2 16.09 0.78
10.+8844.43(或8844.43) -155
第二题
1.√ 2.× 3.× 4.×
第三题
1.A D 2.C
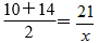
3.分析:解这道题的关键在于找对题中的等量关系。“同样的速度”即速度为定量,根据路程÷时间=速度(一定),可知这道题用正比例知识解答。李伟从家经过购物中心到游乐园,路程为(10+14)km,所用时间为2小时,速度为
千米/时;李伟从家直接到游乐园的路程为21 km,所用时间为x小时,速度为
千米/时,列等量关系式为
。即A选项是正确的。
解答:A
4.A
第四题
1.600 21 14 10


3.x=3.1 x=32
第五题
1.(1)760-95×4=380(千米)
2.(1)6.46×50÷6.07≈53(升)
(2)买60升92号汽油比买60升0号柴油多花多少钱?或买60升0号柴油比买60升92号汽油少花多少钱?
3.分析:“每12个装一盒多出11个”说明每12个装一盒少1个; “每15个装一盒多出14个”说明每15个装一盒少1个。所以这批零件的个数要比12、18、15的公倍数少1。12、18、15的最小公倍数是180。根据这批零件的个数在300至400之间,可知这批零件共有180×2-1=359(个)。
解答:

最小公倍数:2×3×2×3×5=180……(2分)
180×2=360……(3分)
360-1=359(个)……(4分)
答:这批零件共有359个。……(5分)
4.15%÷3×4=20%
260÷(1-15%-20%)=400(米)
5.94 95 96