单元全练全测 - 第四单元全练全测
第一题
1.一百万 四千五百一十亿 100 4510
2.21 9 75 七五
3.
13
4.4 24 5.45 15 6.2∶3
第二题
1.A 2.B 3.B 4.A 5.C 6.A
第三题

第四题
1.(3,3) 2.4 1 3.7.64厘米
第五题
1.28×28+(28-12)×32=1296(千克)
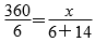
2.分析:“照这样的速度”是指平均每天修的长度不变,即平均每天修360÷6=60(米),此题可以用正比例知识解答,假设这段公路的全长是x米,修完共用了6+14=20(天),可以列出正比例关系式
,解得x=1200,即这段公路的全长是1200米。
解答:解:设这段公路的全长是x米。……(1分)
……(3分)
x=1200……(5分)
答:这段公路的全长是1200米。……(6分)
3.39.29÷(1-7.7%)≈42.57(万人)
4.(1)45
(2)平原:960×12%=115.2(万千米2)
山地:960×33%=316.8(万千米2)