单元全练全测 - 第一单元全练全测
第一题
1.圆锥 高 底面半径 2.423.9
3.244.92 282.6 4.3943.84 4571.84
5.2厘米2
第二题
1.√ 2.√ 3.√ 4.× 5.×
第三题
1.A 2.B D 3.D 4.B
第四题

2.表面积:10×10×5+3.14×(10÷2)2+3.14×10×10÷2=735.5(厘米2)
体积:10×10×10+3.14×(10÷2)2×10÷2=1392.5(厘米3)
第五题
1.3.14×1.2×20×30=2260.8(米2)
2.(2)3.14×
×20=1570(cm3)
1570 cm3=1.57 L
1.57>1.5,够。
3.8分米=80厘米 4分米=40厘米
80×40×5÷4=4000(厘米3)
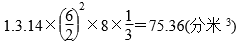
4. 【方法一】
分析:已知圆锥形黄豆堆的底面周长和高,可以求出这个圆锥形黄豆堆的底面半径和它的体积。把圆柱形粮仓的体积看作单位“1”,那么圆锥形黄豆堆的体积正好是圆柱形粮仓体积的
,求单位“1”用除法计算。再根据圆柱的体积公式,已知圆柱的体积与高,可以求出圆柱的底面积。
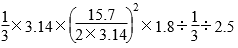
解答:分步列式:15.7÷3.14÷2=2.5(米)……(3分)
×3.14×2.52×1.8÷
÷2.5=14.13(米2)……(6分)
答:这个粮仓的底面积是14.13米2。……(7分)
综合列式:
……(4分)
=
×3.14×6.25×1.8÷
÷2.5………………(5分)
=14.13(米2)……(6分)
答:这个粮仓的底面积是14.13米2。……(7分)
【方法二】
分析:根据圆锥形黄豆堆的体积正好是圆柱形粮仓体积的
可以列方程解答。假设圆柱形粮仓的底面积为x米 2,则列方程为
,解得x=14.13,所以圆柱形粮仓的底面积是14.13 米2。
解答:解:设这个粮仓的底面积是x米2。……(2分)
……(5分)
x=14.13……(6分)
答:这个粮仓的底面积是14.13米2。……(7分)
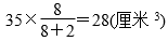
5.分析:因为胶水瓶正放和倒放时胶水瓶的容积与胶水的体积不变,所以胶水瓶空余部分的容积相等。胶水瓶的容积就相当于一个高是8+2=10(厘米)的圆柱形容器的容积,由此可知胶水的体积占胶水瓶容积的
。
解答:35毫升=35厘米3……(4分)
……(7分)
答:瓶内装的胶水的体积是28厘米3。……(8分)