六年级●四 总复习

2.测量 - (2)立体图形的表面积和体积

第1题

800000 0.06 350 3.08 9800 106

第2题

(1)毫升 (2)米3 (3)分米3 (4)升

第3题

表面积:164.85厘米2 体积:157厘米3

第4题

(1)A (2)A

第5题

90厘米2 54厘米3

第6题

(答案不唯一)

第7题

6×6×6÷10.8÷2.5=8(分米)

第8题

(1)3.14×(20÷2)2=314(米2)

(2)3.14×20×1.5+314=408.2(米2)

(3)314×1=314(米3)

第9题

(答案不唯一)

第10题

3.14×102×20=6280(cm3)

3.14×202×10=12560(cm3)

第11题

×0.65=24.492(千克)

(2)24.492×70%=17.1444(千克)

第12题

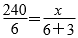
分析:假设酒精瓶的容积是x毫升,因为瓶子的底面积一定,所以可以用正比例知识解答,根据“底面积=容积÷高”列比例为,解得x=360。

解答:解:设这个酒精瓶的容积是x毫升。………………(1分)

………………(6分)

x=360………………(9分)

答:这个酒精瓶的容积是360毫升。………………(10分)

 

小学教材全练