5.解决问题(一) - 精版答案
第1题
50-4.8×4-3.2×5=14.8(元)
第2题
(1)5本笔记本多少元
(2)每盒水彩笔多少元
第3题
解:设他走完全程要用x分钟。
800×40%=320(米)
320∶2=800∶x x=5
第4题
分析:先求出每次要吃多少片,即0.2÷0.1=2(片)。再求出每天要吃多少片,即2×3=6(片)。最后求出15天要吃多少片,即6×15=90(片)。因为90<100,所以这瓶药够吃15天。
解答:3×(0.2÷0.1)×15=90(片)…………(5分)
因为90<100,所以这瓶药够吃15天。…………(7分)
答:这瓶药够吃15天。………………(8分)
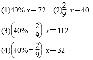
第5题

第6题

第7题

第8题
(1)26÷2=13(元)
(2)18÷3×2+8.5=20.5(元)
第9题
(1)175千米 (2)1.25小时
第10题
分析:由题意可知,先求出原计划平均每天生产多少台,再求出实际平均每天生产多少台,最后求出实际多少天可以完成任务。
解答:分步列式
原计划平均每天生产的台数:384÷8=48(台) ……………(6分)
实际平均每天生产的台数:48+16=64(台) ……………(8分)
实际多少天可以完成任务:384÷64=6(天) ……………(12分)
综合列式
384÷(384÷8+16)……………(6分)
=384÷(48+16) ……………(8分)
=384÷64……………(10分)
=6(天) ……………(12分)
答:实际6天可以完成任务。……………(13分)