五 啤酒生产中的数学——比例 - 5.用比例知识解决问题
第1题
解:设预计一年可生产啤酒x万升。
一个季度有3个月,一年有12个月。

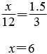
第2题
解:设她读250页需要x分钟。

第3题
解:设另一个齿轮有x个齿。
180x=30×720
x=120
第4题
解:设把这根木料锯成12段要用x分钟。

第5题
解:设用边长为8分米的方砖铺,需要x块。
62×160=82×x
x=90
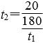
第6题
提示:客车已行驶的路程:S客=200-20=180(千米)
货车已行驶的路程:S货=200-30=170(千米)
设两辆车已行驶的时间是t1。

设当客车到达乙地时又行驶的时间是t2,则
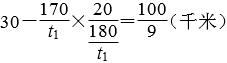
。
当客车到达乙地时,货车距离乙地
。
还可以用比例知识来解答。
解:设货车还差x千米到达乙地。
