1.数的认识 - (3)分数和百分数
第1题

第3题
(横排)0.55 1.35
25% 55%
第4题

第5题
(1)× (2)× (3)× (4)√
第6题
(1)A (2)A (3)B (4)B
第8题
【方法一】 分析:原分数化简后是
,化简后的分子与分母的和是2+3=5,因为化简前分子和分母的和是90,根据90÷5=18,可求出化简前的分子为18×2=36,分母为18×3=54,所以这个分数是
。
解答:3+2=5…………(3分)
90÷5=18…………(6分)
…………(9分)
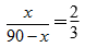
【方法二】 分析:列方程解答,设这个分数的分子为x,则分母为(90-x),可列出方程
。
解答:解:设这个分数的分子为x,则分母为(90-x)。…………(1分)
…………(4分)
3x=(90-x)×2…………(5分)
5x=180…………(6分)
x=36…………(8分)
90-x=90-36=54…………(9分)
这个分数是
。
第9题


第10题

