6.解决问题 - (1)解决问题
第1题
(1)路程 时间
(2)速度 路程 时间
第2题
解:设买5千克牛肉需要x元。
x=200
第3题
(1)100×x=80×5 (2)25×x=20×15
第4题
(1)A (2)B
第5题
(1)解:设平均每天要读x页。
25×8=10x x=20
(2)解:设x小时可以到达。
80×3.75=60x x=5
第6题
实际行驶的速度:176÷3.2=55(千米/时)
解:设这辆轿车从A城到B城实际行驶了x小时。
50×6.6=55×x x=6
第7题
(1)解:设平均每小时应收x公顷。
25×x=30×0.5 x=0.6
(2)30×0.5×20=300(吨)
第8题
分析:解决本题要弄清物高与影长的关系。因为同时同地测量的物高与影长的比值一定,所以本题可用正比例知识解。
解答:(1)
……………(2分)
(2)正……………(4分)
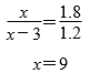
(3)解:设这棵杨树的树高是x米,则影长是(x-3)米。……………(8分)

x-3=9-3=6……………(13分)
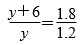
(4)解:设这棵杨树的影长是y米,则树高是(y+6)米。……………(14分)
……………(16分)
y=12……………(20分)
y+6=12+6=18……………(22分)
第9题

(2)解:设重叠部分的面积为x厘米2。
6x+4x-x=108 x=12
12×6=72(厘米2) 12×4=48(厘米2)