3.比例的意义 - (3)解比例
第1题
(1)比例的基本性质
(2)2∶
=130∶13(答案不唯一)插入内容
第2题
x=50 x=3 x=18 x=2 x=5 
第3题

第4题
(1)5∶4=150∶x x=120
(2)100∶613.7=1000∶x x=6137
第5题
解:设意大利比萨斜塔的高度是x米。
160∶x=32∶11 x=55
第6题
解:设这个模型的高度约是x米。
x∶320=1∶400 x=0.8
0.8米=80厘米
第7题
38÷19×7=14(枚)
第8题

第9题

第10题

第11题
【方法一】分析:先观察图形,红色纸条长5 m,对应着“1”,可以根据已知条件写出比例,再解比例就能求出绿色、蓝色、橙色纸条的长度。
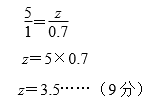
解答:解:设绿色纸条长x m,蓝色纸条长y m,橙色纸条长z m。



【方法二】分析:因为红色纸条长5 m,对应着“1”,所以“1”可以表示5 m。绿色纸条的长度对应“2.4”,表示有2.4个5 m,即2.4×5=12(m);同理,蓝色纸条的长度对应“3.5”,表示有3.5个5 m,即3.5×5=17.5(m);橙色纸条的长度对应“0.7”,表示有0.7个5 m,即0.7×5=3.5(m)。
解答:绿色纸条长:2.4×5=12(m) ……(3分)
蓝色纸条长:3.5×5=17.5(m) ……(6分)
橙色纸条长:0.7×5=3.5(m) ……(9分)