六 田园小卫士——万以内的加减法(二) - 4.连加、连减
第1题
(1)从左到右 828
(2)从左到右 122
(3)391 406 421
(4)941 899 857
第2题
908 868 160 283
第3题

第4题
868 975 326+542+107=975
第5题

第6题
354+129+246=729(米)
第7题
900-156-187=557(本)
第8题
(从左到右)453 88 200
第9题
(1)544-162-155=227(枚)
(2)227-162=65(枚)
第10题
(1)200+200+200=600(元)
(2)850+168=1018(元)
1018>1000,能参加抽奖。
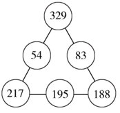
第11题
分析:要使每条直线上三个数相加的和都是600,可以先根据最下边那条直线上已知的两个数217和195,求出这条直线上的第三个数,即600-217-195=188;然后根据左边那条直线上已知的两个数329和217,求出这条直线上的第三个数,即600-329-217=54;最后根据右边那条直线上已知的数329和求出的数188,求出这条直线上的第三个数,即
600-329-188=83。
解答:
