专项全练全测 - 薄弱环节专项全练全测(一)
第一题
1.因数 倍数 倍数
2.18,58,70 15,29,35,39,41,47,87 15,18,39,87 15,35,70
3.180
第二题
1.B C 2.C A 3.C A
第三题

2.小于4 大于或等于4 是4的倍数
3.25 8 20 80 0.8
4.4 5.< > = < < >
第四题
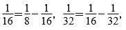
分析:第1小题运用加法结合律和减法的运算性质可解,即:
;第2小题运用加法交换律和加法结合律可解,即:
;通过观察第3 小题,发现加数都为单位加数,又因为
相加后,一些数可以相互抵消,变为
,使计算简便。
解答:



第五题
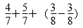
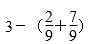
1.2 3 2.+ 16 52 - 4
第六题
x=3 x=6
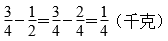
第七题

2. 分析:根据“一桶油连桶共重千克,倒出一半油后,连桶共重
千克”可求出一半油的质量:
,从而求出整桶油的质量:
,最后求出桶的质量。
解答:一半油的质量:
……(2分)
一桶油的质量:
……(3分)
桶重:
……(4分)
答:桶重
千克。……(5分)
3.解:设每个花环x元。
20x+3.5×20=100
x=1.5
4.解:设梨有x箱,则苹果有4x箱。
4x+x=40
x=8
4x=4×8=32
梨:8×12.5=100(千克)
苹果:32×12.5=400(千克)
5.12厘米 12个
6.5棵