单元全练全测 - 第四单元全练全测
第一题

第二题
1.C 2.B 3.C 4.A
第三题

第四题

第五题

3.(1)文学 工具

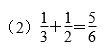
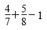
4. 分析:把计划修建地铁的工作量看作单位“1”,超额完成的部分就是上半月实际完成的和下半月实际完成的加起来比“1”多的部分,即
=
。
解答:

答:全月超额完成计划的
。……(7分)

1.C 2.B 3.C 4.A



3.(1)文学 工具

4. 分析:把计划修建地铁的工作量看作单位“1”,超额完成的部分就是上半月实际完成的和下半月实际完成的加起来比“1”多的部分,即
=
。
解答:

答:全月超额完成计划的
。……(7分)
小学教材全练