西南师大版●六年级数学(下册)

单元全练全测 - 第五单元全练全测

第一题

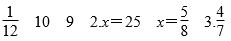
1.940200 九十四万零二百 94 2.21 9 75 七成五 3.0.45 0.454 45%

 4.1∶6000000 1650 5.61 6.120

7.90 8.105 能 9.75.36 dm2 100.48 dm2

75.36 dm3 10.1.256 7 7

第二题

1.B 2.B 3.A 

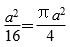
4. 分析:可以设正方形的边长为a,青青从中剪了一个直径为a的圆,所以面积为π(a÷2)²=

兰兰从中剪了四个一样的小圆,每个小圆的半径为,所以面积为4×π×(2=4π×。所以剪去的面积一样大。

解答:C……………………(2分)

  5. 分析:通过观察可知,选项A中上面的两个正方形重合了,不是正方体的平面展开图;选项C中有四个正方形合在一起,不能组成立体图形。所以选项B是正方体的平面展开图。

解答:B…………(2分)

第三题

1.√ 2.√ 3.× 4.√ 

第四题

1.90  0

第五题

1.45 2.4n+1 3.16

第六题

1.小船:(9×6-48)÷(6-4)=3(条)  大船:9-3=6(条)

2.解:设仓库里存放了x吨钢材。

x-30%x=2  x=10

3.分析:仔细观察图可以发现,剩下部分的表面积比圆柱的表面积少了,多了两个长为30 cm,宽为10 cm的长方形的面积,所以剩下部分的表面积=(1-)×(3.14×10×2×30+3.14×10²×2)+30×10×2=2484(cm²);又因为剩下部分的体积比圆柱的体积少了,所以剩下部分的体积=3.14×10²×30×(1-)=7065(cm³)。

解答:分步列式:

圆柱表面积:3.14×10×2×30+3.14×10²×2=2512(cm²)……(1分)

两个长方形:30×10×2=600(cm²)………(2分)

剩下部分的表面积:(1-)×2512+ 600=2484(cm²)……(3分)

圆柱体积:3.14×10²×30=9420(cm³)………………(4分)

剩下部分的体积:9420×(1-)=7065(cm³)………………(5分)

答:剩下部分的表面积为2484 cm²,体积为7065 cm³。…(6分)

综合列式:表面积=(1-)×(3.14×10×2×30+3.14×10²×2)+30×10×2…(2分)

=2484(cm²)………(3分)

体积=3.14×10²×30×(1-)…………(4分)

=7065(cm³)………(5分)

答:剩下部分的表面积为2484 cm²,体积为7065 cm³。………(6分)

 

小学教材全练