单元全练全测 - 第二单元全练全测
第一题
1.长方 82.8 314 2.27 3.5 25 4.104 5.250
第二题
1.C 2.A 3.B 4.B
第三题
1.× 2.× 3.√ 4.×
第五题
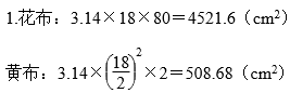
1.2×3.14×5×14+3.14×52×2=596.6(cm2)

第六题



4.(1)20×4+50×4+15=295(cm)

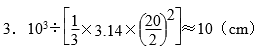
5.分析:皮球有
的体积浸入水中,所以拿出皮球后,水面下降的体积就是皮球在水中的体积,即皮球体积的
。所以皮球的体积=水面下降的体积÷
。
解答:分步列式:3.14×(20÷2)²×2=628(cm³)……………(4分)
628÷
=785(cm³)……………(8分)
答:皮球的体积是785立方厘米。……………(9分)
综合列式:3.14×(20÷2)²×2÷
………(4分)
=785(cm³)……………(8分)
答:皮球的体积是785立方厘米。………(9分)