1.数与代数 - (6)问题解决(一)
第1题

第2题
(1)150÷3 3÷150 (2)6.5×3 (3)1÷12
第3题

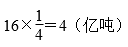
第4题
50-4×4.8-5×3.2=14.8(元)
第5题

第6题
(1)(780+1180)÷(65+75)=14(分)
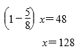
第7题
解:设这条公路全长x千米。

第8题
25×7×60=10500(元)
第9题
384÷(384÷8+16)=6(天)
第10题
分析:由“乘客甲付的车费是其他三人所付车费总数的
”可知乘客甲付的车费占车费总数的
,由“乘客乙付的车费是其他三人所付车费总数的
”可知乘客乙付的车费占车费总数的
,由“乘客丙付的车费是其他三人所付车费总数的
”可知乘客丙付的车费占车费总数的
。由此可求出乘客丁付的车费占车费总数的几分之几,即
,再由“乘客丁付的车费是26元”即可解决问题.
解答:(1)
………(2分)
(2)
…………(3分)
乘客乙付的车费占四人所付车费总数的
。……(4分)
……………(5分)
乘客丙付的车费占四人所付车费总数的
。………6分)
(3)
……(8分)

答:这四位乘客一共付车费120元。………(12分)
第11题
分析:方法一:因为被减数=减数+差,已知被减数、减数与差的和等于120,就是两个被减数的和等于120,即减数与差的和是120÷2=60,又知差是减数的3倍,则差就是减数与差的和的
倍,由此用60×
可求得差是多少。
解:120÷2×
………(5分)
=60×
………(7分)
=45…………(9分)
答:差等于45。………(10分)
方法二:还可以列方程解答,设差为x,则减数为
x,被减数为 x+
x,
可列方程为x+
x+x+
x=120,解得x=45。
解答:设差为x,则减数为
x,被减数为x+
x。 ……………(3分)
x+
x+x+
x=120…………(6分)
x=45 …………(9分)
答:差等于45。…………(10分)