1.数与代数 - (5)比和比例
第1题
(1)1∶150 (2)1∶5 0.2 (3)30 18 (4)80∶1 80
第2题
(1)(答案不唯一)6∶2 9∶3 6∶2=9∶3
(2)(答案不唯一)0.2∶
=b∶a
(3)1,2,3,4,6,8,12,24 1∶2=12∶24(答案不唯一)
(4)10 3
(5)
第3题

第4题
(1)B (2)B A (3)B
第5题
解:设世界人均淡水资源量约是x m3。
2100∶x=7∶25 x=7500
第6题
解:设节日期间每天工作x时。
x=8
8-6=2(时)
第7题
(1)甲
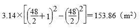
第8题
(1)实际直径:
实际面积:
(2)
第9题
分析:解决此题的关键是找出分成4份后每一份的价格。勺、碗、盘和锅的单价比是1∶2∶3∶7,如果勺的单价是1,那么碗、盘和锅的单价分别是2、3和7,一共有4个勺,4个碗,3个盘和1个锅。所以总价为:1×4+2×4+3×3+7×1=28,分成价格相等的4份,每份的价格是28÷4=7,所以1个锅是一份,2个盘和1个勺是一份,2个碗和1个盘是一份,最后两个2和3个勺是一份。
解答:
……(8分)