2.正比例 - (2)正比例知识的应用
第1题
(1)购买圆珠笔的支数 总钱数 (2)单价
(3)总钱数 购买圆珠笔的支数 正
第2题
(1)C (2)D
第3题
解:设从龙阳路站到浦东国际机场的磁悬浮列车专线长约x km。

x=30
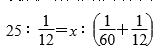
第4题
解:设全年共接待游客约x万人。
690∶3=x∶12 x=2760
第5题
(1)斑马的奔跑路程和时间成正比例,长颈鹿的奔跑路程和时间也成正比例。
(2)斑马:21.6 km 长颈鹿:14.4 km
(3)斑马跑得快。
第6题
30÷50×70=42(元)
第7题
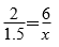
(1)解:设30 kg药液需要加水x kg。
x=3750
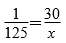
(2)解:设配制这种农药需要x kg药液。
x=32
第8题
(1)解:设剩下的还能吃x天。
180∶6=(900-180)∶x x=24
(2)解:设需要买x kg大米。
180∶6=x∶15 x=450
第9题
解:设这棵树的实际高度是x m。
150 cm=1.5 m
x=4.5
第10题
分析:把一根木料锯成截面面积相等的8段要用21分,而锯成8段要锯8-1=7(次),所以所锯时间和锯的次数的比是21∶7,成正比例关系。如果把这一根木料锯成截面面积相等的12段,那么要锯12-1=11(次),可列比例21∶(8-1)= x∶(12-1)。
解答:(1)7………(5分) (2)11………(10分)
(3)解:设把这根木料锯成截面面积相等的12段要用x分。……(14分)
21∶(8-1)= x∶(12-1)………………………………(15分)
x=33