2.百分数和分数、小数的互化 - 精版答案
第1题

第2题
1.37 0.6 0.16 2.75 3 0.0134 0.29 0.47
第3题
2.4 0.04 0.024
第4题

第6题
(1)× (2)× (3)× (4)√ (5)×
第7题

第8题

第9题
5% 42% 58% 75% 95%
0.05 0.2 0.42 0.58 0.75 0.95
第10题

(设计方法不唯一)
第11题
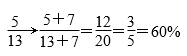
(1)5÷30≈16.7% 16.7%>15% 超重。
第12题
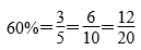
分析:方法一:先将百分数化为分数,
,根据分数的基本性质:
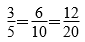
,而
的分子和分母同时加上7后得
,所以加上的数是7。
解答:
……(5分)
……(9分)
所以加上的数是7。……(10分)
方法二:根据题意,设分子和分母同时加上x,变成60%,可以化简为
,即分子与分母的比为3∶5,根据比的基本性质:内项之积等于外项之积,由此可得出方程3(13+x)=5(5+x),求出x的值即可。
解:设的分子和分母同时加上x。……(1分)
根据题意,得
……(4分)
3(13+x)=5(5+x)……(5分)
解得 x=7………………………………(9分)
所以
的分子、分母同时加上7后能变成60%。…………(10分)