1.分数加减法 - 精版答案
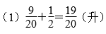
第1题

第2题

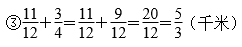
第3题

第4题

第5题
苏欣
第6题

第7题

第8题

第9题

第10题

第11题


(2)提示:根据题意可知,邮局、农业银行和电影院三者应有如下两种位置关系。如图:

①农业银行和电影院相距:
……(4分)
②农业银行和电影院相距:
……(6分)




苏欣







(2)提示:根据题意可知,邮局、农业银行和电影院三者应有如下两种位置关系。如图:

①农业银行和电影院相距:
……(4分)
②农业银行和电影院相距:
……(6分)
小学教材全练