六 大海边——100以内的加减法(二) - 5.连加、连减、加减混合两步计算
第1题
(1)68 16 52 52 23 29
(2)减 加
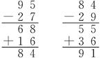
第2题
71 29
第3题
90 10 70
√ √ √
第4题

第5题
45-17-19=9(棵)
第6题
38+13+14=65(枚)
第7题
46-28+35=53(颗)
第8题
65+27-73=19(盒)
第9题
(答案不唯一)这三种昆虫一共约有多长?
10+26+21=57(厘米)
第10题
(答案不唯一)下午卖出8箱
15-5-8=2(箱)
第12题
(1)35+9-20=24
(2)小狗、小象和小松鼠一共练习了多少圈?
20+9+35=64(圈)
第13题
(答案不唯一)24+28-17=35