单元全练全测 - 第六、七单元全练全测
第一题

3.> < = >
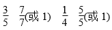
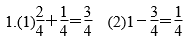
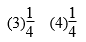
4.(1)145 (2)155 (3)2 (4)14
第二题
1.B 2.B 3.B 4.C
第三题
1.× 2.× 3.√ 4.×
第四题



第六题

2.(1)把每张饼都平均切成4份,每个人各取大、中、小3张饼中的一份。

3.分析:(2)由统计图可知,5月过生日的同学最多,12月过生日的同学最少,7月过生日的同学比6月过生日的同学多2人。
(3)求全班人数就是把每个月过生日的学生人数合在一起。
解答:(2)5 12 2 ……(12分)
(3)2+4+3+2+5+2+4+4+3+3+3+1=36(名) ……(19分)