6.吃西瓜 - 精版答案
第1题

第2题

第3题
(1)√ (2)× (3)√ (4)√
第4题

第5题

第6题
> = > < < =
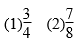
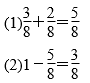
第7题

第8题

第9题

第10题
分析:已知一盒巧克力,小明吃了它的
,妈妈吃了它的
,剩下的由爸爸吃完,选择问题③比较合适;也可以选择另外两个问题。
解答:(答案不唯一)③ ……(3分)
+
=
……(6分)
1-
=
……(7分)
答:爸爸吃了这盒巧克力的
。 ……(8分)
第11题
分析:(1)通过合并图形,可以看出1号图形和2号图形共占整个图形的
。
(2)将5号图形和7号图形分别分成两个三角形(图略),可以看出,每个三角形占3、4、5、6、7号图形的组合图形的
,3、4、5、6、7号图形的组合图形又占整个图形的
,所以每个三角形占整个图形的
,那么5号图形和7号图形中共有4个这样的三角形,就占整个图形的
。
解答:(1)
……(5分)
(2)
……(10分)