2.三角形的特性(二) - 精版答案
第1题
3条 走c路线最近。
第2题
(1)√ (3)√ (4)√
第3题
(1)分析:解决此题可以根据“三角形任意两边之和大于第三边”来判断,将每个选项的数代入进行计算。
选项A:3、8、5

3、8、7

5或7这一组当三条边分别为3 cm、5 cm、8 cm时不能组成三角形,所以不能选。
选项B:3、8、9

选项C:3、8、7

因为选项B和选项C的三条边都能组成三角形,即选项D答案完整。
解答:D ……(4分)
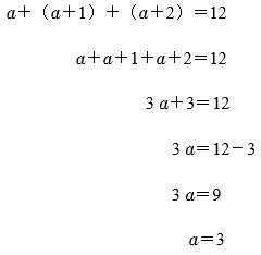
(2)分析:已知三角形的三条边的长为连续自然数,且周长为12 cm。
设最短边长为a,其他两条边长分别为a+1, a+2。
解答:B ……(8分)
(3)分析:要想知道以长度分别为3 cm、5 cm、7 cm、10 cm的四条线段中的三条线段为边可构成几个三角形,可根据“三角形任意两边之和大于第三边”进行判断,可将四条线段分组。
第一组:3 cm、5 cm、7 cm

第二组:3 cm、5 cm、10 cm

第三组:5 cm、7 cm、10 cm

第四组:3 cm、7 cm、10 cm

解答:B ……(12分)
(4)B ……(16分)
第4题
(1)× (2)× (3)× (4)×
第5题
分析:根据“三角形任意两边之和大于第三边”来判定。将6 cm、7 cm、11 cm、13 cm分组。
第一组:6 cm、7 cm、11 cm

第二组:6 cm、7 cm、13 cm

第三组:7 cm、11 cm、13 cm

第四组:6 cm、11 cm、13 cm

解答:能摆出3种。 ……(2分)
6 cm、7 cm、11 cm ……(4分)
7 cm、11 cm、13 cm ……(6分)
6 cm、11 cm、13 cm ……(8分)
第6题
(1)丁丁 因为5+4=9,两边之和等于第三边,这样的三角形不存在。
力力 因为4+2=6,6<7,两边之和小于第三边,这样的三角形不存在。
(2)明明
解答:丁丁和力力量错了。 ……(5分)
(2)明明的测量结果符合三角形的特性。 ……(1分)
……(4分)
第7题
分析:可以根据“三角形任意两边之和大于第三边”进行填写。此题答案不唯一。
第1组:设B小棒的长度为a,要满足4+a>6,4+6>a,6+a>4,即2<a<10才符合围成三角形的条件,故a可取3、4、5、6、7、8、9。
第2组:设A小棒的长度为b,要满足5+10>b,5+b>10,10+b>5,才符合围成三角形的条件。根据5+b>10可知b>5,要围不成三角形,则b<5;即b可取1、2、3、4;根据5+10>b可知b<15,要想围不成三角形,则b>15,即b还可取大于15的数。
第3组:设C小棒的长度为c,要满足5+6>c,5+c>6,6+c>5才符合围成三角形的条件,根据5+c>6可知c>1,要想围不成三角形,可以将c取1;根据5+6>c可知c<11,要想围不成三角形,则c>11,即c还可取大于11的数。
第4组:设B小棒的长度为d,要满足4+d>10,4+10>d,10+d>4才符合围成三角形的条件,根据4+d>10可知d>6,要想围不成三角形,则d可取1、2、3、4、5;根据4+10>d可知d<14,要想围不成三角形,d还可取大于13的数。
如果第4组小棒能围成三角形,根据4+10>d可知d<14,d可取13、12、11、10……所以小棒B最长可取13 cm;根据4+d>10,d可取7、8、9、10……所以小棒B最短是7 cm。所以要围不成三角形,d可取小于7的数和大于13的数。
解答:
……(8分)
第8题
不能,因为人迈步时两腿和地面构成一个三角形,根据三角形任意两边的和大于第三边判断:1.28+1.28=2.56(m),2.56<3,所以他一步不能走3 m。
第9题
分析:(1)题中已经给出了三角形菜地的两条边分别长6 m和8 m,要想知道第三边可能是多长,要根据“三角形任意两边之和大于第三边”来判断。
设第三条边长是a m,满足6+a>8, 8+a>6,6+8>a才符合围成三角形的条件。
根据6+a >8, a可取3、4、5、6、7……
根据6+8> a,a可取1、2、3、4、5、6、7、8、9、10、11、12、13。
综合以上a的取值得出第三条边的长可以是3m、4 m、5 m、6 m、7 m、8 m、9 m、10 m、
11 m、12 m、13 m。
解答:14 ……(6分)
(2)分析:通过上题已知a可取的值为:3、4、5、6、7、8、9、10、11、12、13。
这13个数分别与6相加,和应该大于最长边8 cm。符合条件的第三边的长是13、12、11、10、9、8、7、6、5、4、3。
解答: 8 3、4、5、6、7、8、9、10、11、12、13 ……(12分)